|
Introduction to Mechanisms
Yi Zhang
with
Susan Finger
Stephannie Behrens
Figure 6-1 Simple Cam experiment
Take a pencil and a book to do an experiment as shown above. Make the
book an inclined plane and use the pencil as a slider (use your hand
as a guide). When you move the book smoothly upward, what happens to
the pencil? It will be pushed up along the guide. By this method, you
have transformed one motion into another motion by a very simple
device. This is the basic idea of a cam. By rotating the cams in the
figure below, the bars will have either translational or oscillatory
motion.
The transformation of one of the simple motions, such as rotation,
into any other motions is often conveniently accomplished by means of
a cam mechanism A cam mechanism usually consists of two moving
elements, the cam and the follower, mounted on a fixed frame. Cam
devices are versatile, and almost any arbitrarily-specified motion can
be obtained. In some instances, they offer the simplest and most
compact way to transform motions.
A cam may be defined as a machine element having a curved
outline or a curved groove, which, by its oscillation or rotation
motion, gives a predetermined specified motion to another element
called the follower . The cam has a very important function
in
the operation of many classes of machines, especially those of the
automatic type, such as printing presses, shoe machinery, textile
machinery, gear-cutting machines, and screw machines. In any class of
machinery in which automatic control and accurate timing are
paramount, the cam is an indispensable part of mechanism. The possible
applications of cams are unlimited, and their shapes occur in great
variety. Some of the most common forms will be considered in this
chapter.
We can classify cam mechanisms by the modes of input/output motion,
the configuration and arrangement of the follower, and the shape of
the cam. We can also classify cams by the different types of motion
events of the follower and by means of a great variety of the motion
characteristics of the cam profile. (Chen 82)
Figure 6-2 Classification of cam mechanisms
- Rotating cam-translating follower.
(Figure 6-2a,b,c,d,e)
- Rotating follower (Figure 6-2f):
The follower arm swings or oscillates in a circular arc with respect
to the follower pivot.
- Translating cam-translating follower (Figure 6-3).
- Stationary cam-rotating follower:
The follower system revolves with respect to the center line of the
vertical shaft.
Figure 6-3 Translating cam - translating follower
- Knife-edge follower (Figure 6-2a)
- Roller follower (Figure 6-2b,e,f)
- Flat-faced follower (Figure 6-2c)
- Oblique flat-faced follower
- Spherical-faced follower (Figure 6-2d)
- In-line follower:
The center line of the follower passes through the center line of the
camshaft.
- Offset follower:
The center line of the follower does not pass through the center line
of the cam shaft. The amount of offset is the distance between
these two center lines. The offset causes a reduction of the side
thrust present in the roller follower.
- Plate cam or disk cam:
The follower moves in a plane perpendicular to the axis of rotation of
the camshaft. A translating or a swing arm follower must be
constrained to maintain contact with the cam profile.
- Grooved cam or closed cam (Figure 6-4):
This is a plate cam with the follower riding in a groove in the face
of the cam.
Figure 6-4 Grooved cam
- Cylindrical cam or barrel cam (Figure
6-5a):
The roller follower operates in a groove cut on the periphery of a
cylinder. The follower may translate or oscillate. If the cylindrical
surface is replaced by a conical one, a conical cam results.
- End cam (Figure 6-5b):
This cam has a rotating portion of a cylinder. The follower translates
or oscillates, whereas the cam usually rotates. The end cam is rarely
used because of the cost and the difficulty in cutting its contour.
Figure 6-5 Cylindrical cam and end cam
- Gravity constraint:
The weight of the follower system is sufficient to maintain contact.
- Spring constraint:
The spring must be properly designed to maintain contact.
- Positive mechanical constraint:
A groove maintains positive action.
(Figure 6-4 and Figure 6-5a)
For the cam in Figure 6-6, the follower has two rollers, separated by a fixed
distance, which act as the constraint; the mating cam in
such an arrangement is often called a constant-diameter cam.
Figure 6-6 Constant diameter cam
A mechanical constraint cam also be introduced by employing a dual or
conjugate cam in arrangement similar to what shown in Figure 6-7.
Each cam has its own roller, but the rollers are mounted on the same
reciprocating or oscillating follower.
Figure 6-7 Dual cam
Rotating Cam, Translating Follower
Figure 6-8 SimDesign translating cam
Load the SimDesign file simdesign/cam.translating.sim. If you
turn the cam, the follower will move. The weight of the follower
keeps them in contact. This is called a gravity constraint cam.
Rotating Cam/Rotating Follower
Figure 6-9 SimDesign oscillating cam
The SimDesign file is simdesign/cam.oscillating.sim. Notice
that a roller is used at the end of the follower. In addition, a
spring is used to maintain the contact of the cam and the roller.
If you try to calculate the degrees of
freedom (DOF) of the mechanism, you must imagine that the roller
is welded onto the follower because turning the roller does not
influence the motion of the follower.
Figure 6-10 illustrates some cam nomenclature:
Figure 6-10 Cam nomenclature
- Trace point:
A theoretical point on the follower, corresponding to the point of a
fictitious knife-edge follower. It is used to generate the
pitch curve. In the case of a roller follower, the trace
point is at the center of the roller.
- Pitch curve: The path generated by the trace point at
the follower is rotated about a stationary cam.
- Working curve: The working surface of
a cam in contact with the follower. For the knife-edge follower
of the plate cam, the pitch curve and the working curves
coincide. In a close or grooved cam there is an inner
profile and an outer working curve.
- Pitch circle: A circle from the cam center through the pitch
point. The pitch circle radius is used to calculate a cam of minimum size
for a given pressure angle.
- Prime circle (reference circle): The smallest circle
from the cam center through the pitch curve.
- Base circle: The smallest circle from the cam center through
the cam profile curve.
- Stroke or throw:The greatest distance or angle through
which
the follower moves or rotates.
- Follower displacement: The position of the follower from a
specific zero or rest position (usually its the position when the f
ollower contacts with the base circle of the cam) in relation
to time or the rotary angle of the cam.
- Pressure angle: The angle at any point between the normal to
the pitch curve and the instantaneous direction of the follower motion. This
angle is important in cam design because it represents the steepness of the
cam profile.
When the cam turns through one motion cycle, the follower executes a
series of events consisting of rises, dwells and returns. Rise
is the motion of the follower away from the cam center, dwell
is the motion during which the follower is at rest; and return
is the motion of the follower toward the cam center.
There are many follower motions that can be used for the rises and the
returns. In this chapter, we describe a number of basic curves.
Figure 6-11 Motion events
Notation
-
: The rotary angle of
the cam, measured from the beginning of the motion event;
: The range of the
rotary angle corresponding to the motion event;
- h : The stoke of the motion event of the follower;
- S : Displacement of the follower;
- V : Velocity of the follower;
- A : Acceleration of the follower.
If the motion of the follower were a straight line, Figure 6-11a,b,c, it would have equal displacements
in equal units of time, i.e., uniform velocity from the
beginning to the end of the stroke, as shown in b. The acceleration,
except at the end of the stroke would be zero, as shown in c. The
diagrams show abrupt changes of velocity, which result in large forces
at the beginning and the end of the stroke. These forces are
undesirable, especially when the cam rotates at high velocity. The
constant velocity motion is therefore only of theoretical
interest.
(6-1)
Constant acceleration motion is shown in Figure 6-11d, e, f. As indicated in e, the velocity
increases at a uniform rate during the first half of the motion and
decreases at a uniform rate during the second half of the motion. The
acceleration is constant and positive throughout the first half of the
motion, as shown in f, and is constant and negative throughout the
second half. This type of motion gives the follower the smallest
value of maximum acceleration along the path of motion. In high-speed
machinery this is particularly important because of the forces that
are required to produce the accelerations.
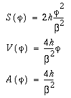
When
,
(6-2)
When
,
(6-3)
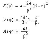
A cam mechanism with the basic curve like g in Figure
6-7g will impart simple harmonic motion to the
follower. The velocity diagram at h indicates smooth action. The
acceleration, as shown at i, is maximum at the initial position, zero
at the mid-position, and negative maximum at the final position.
(6-4)
The translational or rotational displacement of the follower is a function
of the rotary angle of the cam. A designer can define the function
according to the specific requirements in the design. The motion
requirements, listed below, are commonly used in cam profile design.
Figure 6-12 is a skeleton diagram of a disk cam with a knife-edge
translating follower. We assume that the cam mechanism will be used
to realize the displacement relationship between the rotation of the
cam and the translation of the follower.
Figure 6-12 A Skeleton Diagram of disk cam with knife-edge translation
Below is a list of the essential parameters for the evaluation of these
types of cam mechanisms. However, these parameters are adequate only
to define a knife-edge follower and a translating follower cam mechanism.
Parameters:
- ro: The radius of the base
circle;
- e: The offset of the follower from the rotary
center of the cam. Notice: it could be negative.
- s: The displacement of the follower which is a function of
the rotary angle of the cam --
.
- IW: A parameter whose absolute value is 1. It represents
the turning direction of the cam. When the cam turns clockwise:
IW=+1, otherwise: IW=-1.
The method termed inversion is
commonly used in cam profile design. For example, in a disk cam with
translating follower mechanism, the follower
translates when the cam turns. This means that the relative motion
between them is a combination of a relative turning motion and a
relative translating motion. Without changing this feature of their
relative motion, imagine that the cam remains fixed. Now the
follower performs both the relative turning and translating
motions. We have inverted the mechanism.
Furthermore, imagine that the knife-edge of the
follower moves along the fixed cam profile in the inverted mechanism.
In other words, the knife edge of the follower
draws the profile of the cam. Thus, the problem of designing the cam
profile becomes a problem of calculating the trace of the knife edge
of the follower whose motion is the combination of the relative
turning and the relative translating.
Design equations:
Figure 6-13 Profile design of translating cam follower
In Figure 6-13, only part of the cam profile AK is
displayed. Assume the cam turns clockwise. At the beginning of
motion, the knife edge of the follower contacts the point of
intersection A of the base circle and the
cam profile. The coordinates of A are (So, e), and
So can be calculated from equation
Suppose the displacement of the follower is S when the angular
displacement of the cam is . At this moment, the
coordinates of the knife edge of the follower should be (So + S,
e).
To get the corresponding position of the knife edge of the follower in
the inverted mechanism, turn the follower around the center of the cam
in the reverse direction through an angle of . The knife edge will be
inverted to point K, which corresponds to the point on
the cam profile in the inverted mechanism. Therefore, the coordinates
of point K can be calculated with the following equation:
(6-5)
Note:
- The offset e is negative if the follower
is located below the x axis.
- When the rotational direction of the cam is clockwise: IW = +1,
otherwise: IW = -1.
Suppose the cam mechanism will be used to make the knife edge oscillate.
We need to compute the coordinates of the cam profile that results in
the required motion of the follower.
Figure 6-14 Disk cam with knife-edge oscillating follower
The essential parameters in this kind of cam mechanisms
are given below.
- ro: The radius of the base
circle;
- a: The distance between the pivot of the cam and the pivot of
the follower.
- l: The length of the follower which is a distance from its pivot
to its knife edge.
: The angular
displacement of the follower which is a function of the rotary angle
of the cam -- .
- IP: A parameter whose absolute value is 1. It represents
the location of the follower. When the follower is located above the
x axis: IP=+1, otherwise: IP=-1.
- IW: A parameter whose absolute value is 1. It represents the turning
direction of the cam. When the cam turns clockwise: IW=+1, otherwise:
IW=-1.
Cam profile design principle
The fundamental principle in designing the cam profiles is still inversion, similar to that that for
designing other cam mechanisms, (e.g., the
translating follower cam mechanism). Normally, the follower
oscillates when the cam turns. This means that the relative motion
between them is a combination of a relative turning motion and a
relative oscillating motion. Without changing this feature of their
relative motion, let the cam remain fixed and the follower performs
both the relative turning motion and oscillating motion. By imagining
in this way, we have actually inverted the mechanism.
Figure 6-15 Cam profile design for a rotating follower
In Figure 6-15, only part of the cam profile BK is shown. We
assume that the cam turns clockwise.
At the beginning of motion, the knife edge of the
follower contacts the point of intersection (B) of the base
circle and the cam profile. The initial angle between the follower
(AB) and the line of two pivots (AO) is 0. It can be calculated from
the triangle OAB.
When the angular displacement of the cam is , the oscillating displacement
of the follower is which
measures from its own initial position. At this moment, the angle
between the follower and the line passes through two pivots should be
+ 0.
The coordinates of the knife edge at this moment
will be
(6-6)
To get the corresponding knife-edge of the follower in the inverted
mechanism, simply turn the follower around the center of the cam in
the reverse direction of the cam rotation through an angle of . The knife edge will be
inverted to point K which corresponds to the point on the cam
profile in the inverted mechanism. Therefore, the coordinates of
point K can be calculated with the following equation:
(6-7)
Note:
- When the initial position of the follower is above the
x axis, IP = +1, otherwise: IP = -1.
- When the rotary direction of the cam is clockwise: IW = +1,
otherwise: IW = -1.
Additional parameters:
- r: the radius of the roller.
- IM: a parameter whose absolute value is 1, indicating which
envelope curve will be adopted.
- RM: inner or outer envelope curve. When it is an inner envelope
curve: RM=+1, otherwise: RM=-1.
Design principle:
The basic principle of designing a cam profile with the inversion method is still used. However, the
curve is not directly generated by inversion. This procedure has two
steps:
- Imagine the center of the roller as a knife edge. This concept is
important in cam profile design and is called the trace point) of follower. Calculate the pitch curve aa, that is, the trace of the
pitch point in the inverted mechanism.
- The cam profile bb is a product of the enveloping motion of a
series of rollers.
Figure 6-16 The trace point of the follower on a disk cam
Design equations:
The problem of calculating the coordinates of the cam profile is the
problem of calculating the tangent points of a sequence of rollers in
the inverted mechanism. At the moment shown Figure 6-17, the tangent
point is P on the cam profile.
Figure 6-17 The tangent point, P, of a roller to the disk cam
The calculation of the coordinates of the point P has two steps:
- Calculate the slope of the tangent tt of point K on
pitch curve, aa.
- Calculate the slope of the normal nn of the curve aa at
point K.
Since we have already have the coordinates of point K: (x,
y), we can express the coordinates of point P as

(6-8)
Note:
- When the rotary direction of the cam is clockwise: IW = +1,
otherwise: IW = -1.
- when the envelope curve (cam profile) lies inside the pitch curve: RM
= +1, otherwise: RM = -1.
- Complete Table of Contents
- 1 Physical Principles
- 2 Mechanisms and Simple Machines
- 3 More on Machines and Mechanisms
- 4 Basic Kinematics of Constrained Rigid Bodies
- 5 Planar Linkages
- 6 Cams
- 6.1 Introduction
- 6.1.1 A Simple Experiment: What is a Cam?
- 6.1.2 Cam Mechanisms
- 6.2 Classification of Cam Mechanisms
- 6.2.1 Follower Configuration
- 6.2.2 Follower Arrangement
- 6.2.3 Cam Shape
- 6.2.4 Constraints on the Follower
- 6.2.5 Examples in SimDesign
- 6.3 Cam Nomenclature
- 6.4 Motion events
- 6.4.1 Constant Velocity Motion
- 6.4.2 Constant Acceleration Motion
- 6.4.3 Harmonic Motion
- 6.5 Cam Design
- 6.5.1 Disk Cam with Knife-Edge
Translating Follower
- 6.5.2 Disk Cam with Knife-Edge Oscillating
Follower
- 6.5.3 Disk Cam with Roller Follower
- 7 Gears
- 8 Other Mechanisms
- Index
- References

sfinger@ri.cmu.edu
|