Manipulator

Micron 2 Manipulator

Design

Manipulator Mechanism Video

Control

Piezoelectric actuators have many good properties notwithstanding, the precision of tool tip manipulation and stability of the controller are complicated by the hysteretic behavior of the piezoelectric material.

To avoid complicated stability and sluggish performance issues of an adaptive closed-loop control scheme, we implemented an open-loop feedforward controller with inverse hysteresis model. The main idea is to obtain a mathematical model that closely describes the complex hysteretic behavior, and then to feedforward the inverse model to linearize the actuator response.

Fig. 1.

To complicate the modeling issue further, hysteresis of a piezoelectric actuator is rate-dependent.

Fig. 2.

Most hysteresis models are based on elementary rate-independent operators and are not suitable for modeling actuator behavior across a wide frequency band. This work proposes a rate-dependent modified Prandtl-Ishlinskii (PI) operator to account for the hysteresis of a piezoelectric actuator at varying frequency. We have shown experimentally that the relationship between the slope of the hysteretic loading curve and the rate of control input can be modeled by a linear function.

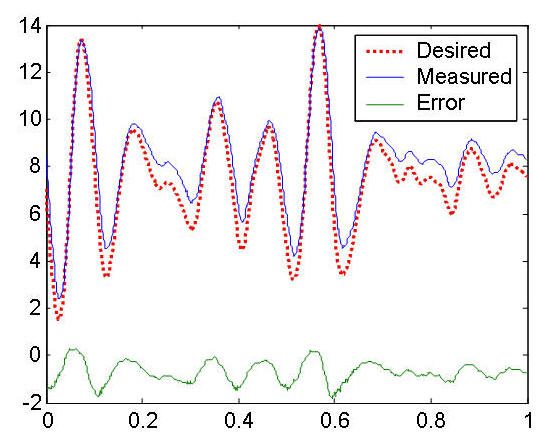
The proposed rate-dependent hysteresis model is implemented for open-loop control of a piezoelectric actuator. In experiments tracking multi-frequency nonstationary motion profiles and real recorded 1-DOF tremor, it consistently outperforms its rate-independent counterpart by a factor of two in maximum error and a factor of three in rms error.

 

(a) Uncompensated hysteresis

(b) Rate-independent model

(c) Rate-dependent model

Fig. 3. Experimental open-loop tracking results for real tremor. The rate-independent

model parameters are identified from the measured response of the piezoelectric

actuator subjected to a 10 Hz, 12.5 mm p-p sinusoidal input.

Publications:

1.      Modeling Rate-dependent Hysteresis in Piezoelectric Actuators

      W. Ang , F. Alija Garmón, P. Khosla, and C. Riviere

      Proc. IEEE/RSJ Intl. Conf. Intelligent Robots and Systems, October, 2003

 

 

Return to Research Activity

Return to Micron 2

Return to Manipulator 1