next up previous
Next: 2.1 Network configuration file Up: Simulation Environment Overview 15-441 Previous: 1 Overview

2 Building the kernel and running a network simulation

The support code for your projects provides an environment that emulates a simple machine with hardware-level network devices and a system call interface. It is provided to you in the form of a library: libkernel.a.

When building the kernel, all your files will be compiled and linked against the libraries we provide to form a single Solaris executable.

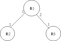
You will be using the simulator to simulate a network. Typically, a network consists of more than one node (otherwise it is not very interesting). A sample network configuration is shown in Figure 2. This configuration may be represented in the simulator as shown in Figure 1.

A script $PDIR/template/startkernel.pl is provided to help you bring your network up when you start the simulation. This script reads a network configuration file (see Section 2.1) that you specify and launches the appropriate number of kernels. Each kernel is started in its own xterm window. An optional second argument (debug) may be specified to startkernel.pl so that it runs each kernel within gdb. If you specify the debug option, you will have to start the kernel in gdb manually. You have to set the arguments for the kernel using ``set args ...'' (see the script for what arguments are needed). Then you can issue the command ``run''. If you don't specify the debug option, problems may be difficult to debug since when a kernel crashes, the xterm window corresponding to that kernel will close.

Figure 2: A sample network configuration.

\includegraphics[height=1.5in, keepaspectratio]{fig-config.eps}



Subsections
next up previous
Next: 2.1 Network configuration file Up: Simulation Environment Overview 15-441 Previous: 1 Overview