In this section, we extend the analysis in
Section 3.5.1 to the general FB process. As in
Section 3.5.1, once the background process is approximated
by a Markov chain on a finite state space, it is straightforward to
reduce the FB process to a 1D Markov chain.
Hence, in this section, we limit our focus on approximating
the background process by a Markov chain on a finite state space;
for completeness, we formally describe the construction of the 1D Markov chain
using the approximated background process in Appendix 3.5.5.
We will see that, in general, a
collection of PH distributions is needed in the
approximate background process,
, (e.g. recall Section 3.1.2) to capture
the dependency in the sequence of sojourn times in levels
that
has.
This is in contrast to the case when the background process is a
birth-and-death process, which required only a single PH distribution
in the approximate background process,
since the sojourn times in levels
are i.i.d. in this case.
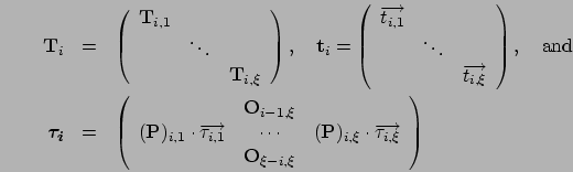
Below, we use
to denote the generator matrix of
, and use
,
,
and
to denote the submatrices of
,
following the convention introduced in Section 3.4
We start by specifying the properties that
should have.
Let
be the event that
the first state that we visit in level
is in phase
given that we transitioned from phase
in level
to any state in level
.
(Notice that in the analysis of the M/PH/2 queue with two priority classes in Section 3.1,
each event
corresponds to the event that the phase of the job in service
immediately before a busy period starts is
and the phase of the job
in service immediately after the busy period is
.)
We require that
has the following key properties:
To construct
, we first analyze the probability
of event
and (the moments of) the distribution of the
sojourn time in levels
given event
(we denote this
distribution as
) for each
and
.
(Notice that in the analysis of the M/PH/2 queue with two priority classes in Section 3.1,
corresponds to the distribution of the busy period duration
given that the phase of the job in service
immediately before a busy period starts is
and the phase of the job
in service immediately after the busy period is
.)
Let
be the number of phases in level
of
(and
). Then, there are
types of events
.
The probability of event
is relatively easy to analyze.
Let
be a matrix of order
whose
element is
the probability of event
.
Let
be the event that
transitions to state
given that
the transition is from state
to any state in level
.
Also, let
be the event that
state
is the first state that
hits in level
given that
starts in state
.
Then,
Next, we analyze the moments of
.
Let
be a
matrix of order
whose
element is the
-th moment
of
for
.
Note that
is a mixture of distributions of various conditional passage times
from level
to level
.
Specifically, let
be the time to go
from state
to state
.
Then, the distribution function of
is given by
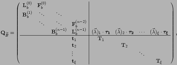
We are now ready to construct
.
We use the moment matching algorithm developed in Chapter 2 to
approximate
by a PH distribution,
,
matching the first three moments of
,
,
for all
and
.
Let
,
where
is a column vector with all elements 1 and has order
equal to the number of columns in
.
Using
and
defined above,
the generator matrix of
is defined as
