![]() |
Set
, which is used to characterize set
, gives us a sense of how many phases are necessary to
well-represent a given distribution. It turns out that it is useful
to divide set
into smaller subsets to describe the
closed form solutions compactly.
Roughly speaking,
we divide the set
into three subsets,
,
, and
(see Figure 2.10).
More formally,



The sets
,
, and
provide a classification of distributions into three categories such that,
for any distribution
,
and
lie in the same category.
Proof:We prove the case when
.
The lemma then follows by induction.
Let
.
By Theorem 3,
,
and

By Corollary 1 and Lemma 4, it follows that:
The corollary implies that for any
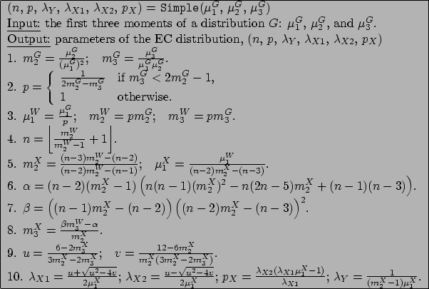
By Corollary 2,
it is relatively easy to provide a closed form solution for
the parameters
(
,
,
,
,
) of an EC distribution,
,
so that a given distribution is well-represented by
.
Essentially, one just needs to find an appropriate
and solve
for
in terms of normalized moments,
which is immediate since
is given by Corollary 1 and the normalized moments of
can be obtained from Theorem 3.