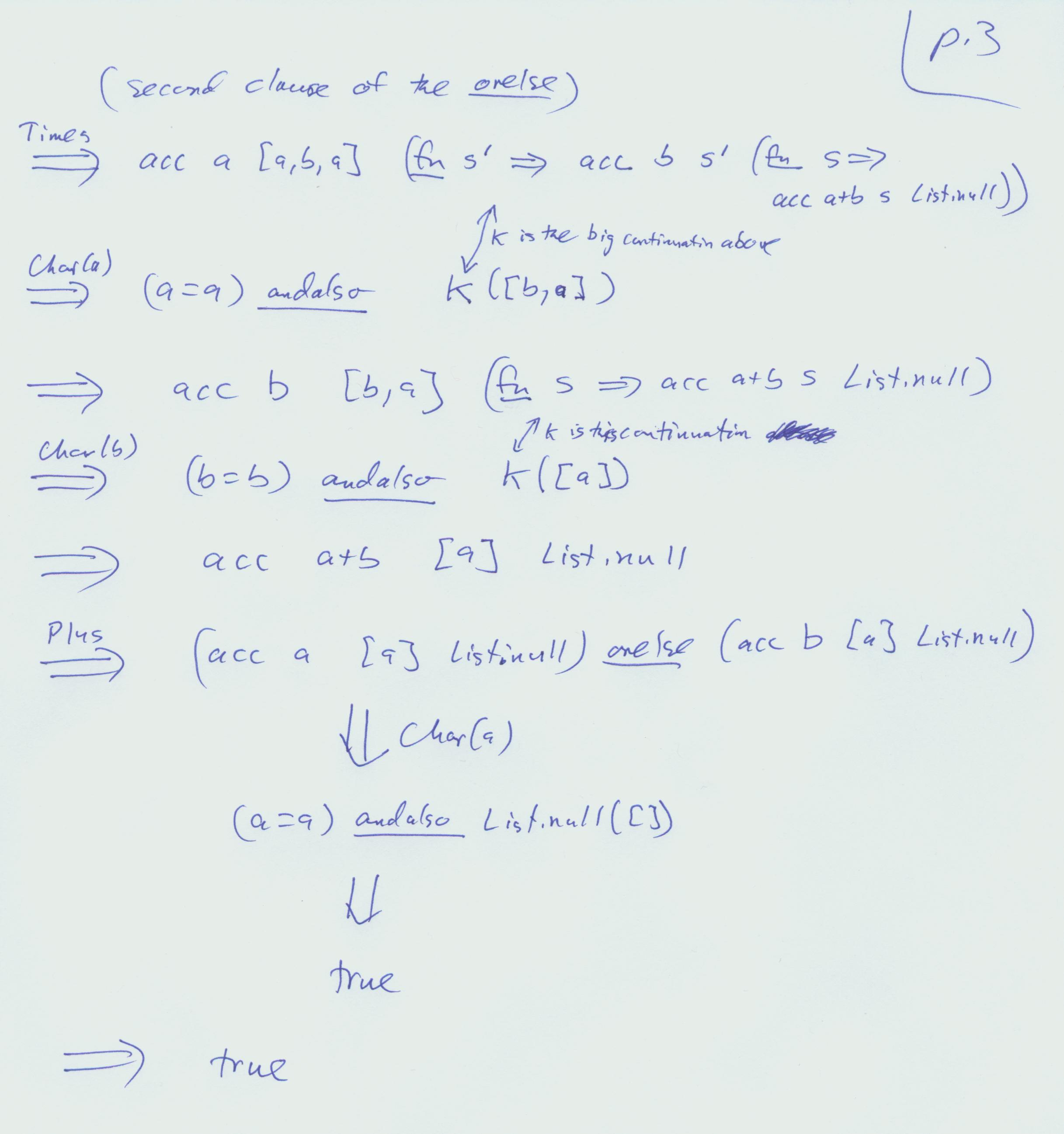
The following three pages describe in cartoon form an evaluation trace of the regular expression acceptor for a simple language, requiring an interesting decision. The search to make the correct decision is implemented compactly by continuations.