Data Mining Assignment 1: Sample Input
Sample Files:
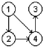
Sample Graph 1:
-
Path from 1 to 3:
1, 4, 3
-
Path from 3 to 1:
No path
Sample Graph 2:
-
Path from 1 to 8:
1, 3, 6, 7, 8
-
Path from 8 to 1:
No path
Sample Graph 3:
-
Path from 8 to 1:
8, 6, 7, 2, 1
-
Path from 1 to 8:
No path
Test Graph:
-
Path from 1 to 2:
1, 2
-
Path from 2 to 1:
No path
-
Path from 1 to 4:
1, 2, 3, 6, 5, 4
-
Path from 3 to 3:
3
Back to the Data Mining home page
.