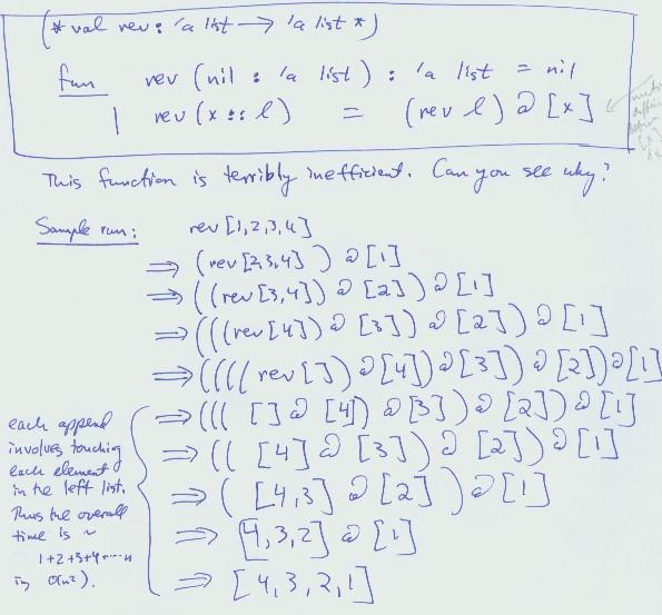
Reversing a list using standard recursion:


Reversing a list using tail recursion:





(See the lecture code for the implementation of the next two functions.)

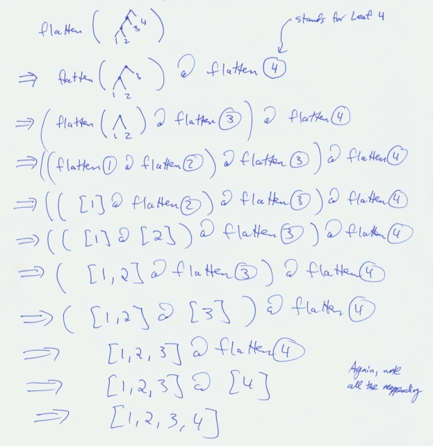
Flattening a tree using standard recursion:


Flattening a tree using (some) tail recursion: