scs logo Programming Project #3 for the 15-862 class (proj3g)
15-463: Computational Photography

Gradient-Domain Fusion



Due Date: 11:59pm on Monday, October 1st, 2012

Overview

This project explores gradient-domain processing, a simple technique with a broad set of applications including blending, tone-mapping, and non-photorealistic rendering. For the core project, we will focus on "Poisson blending"; tone-mapping and NPR can be investigated as bells and whistles.

The primary goal of this assignment is to seamlessly blend an object or texture from a source image into a target image. The simplest method would be to just copy and paste the pixels from one image directly into the other. Unfortunately, this will create very noticeable seams, even if the backgrounds are well-matched. How can we get rid of these seams without doing too much perceptual damage to the source region?

The insight is that people often care much more about the gradient of an image than the overall intensity. So we can set up the problem as finding values for the target pixels that maximally preserve the gradient of the source region without changing any of the background pixels. Note that we are making a deliberate decision here to ignore the overall intensity! So a green hat could turn red, but it will still look like a hat.

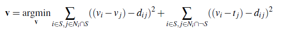
We can formulate our objective as a least squares problem. Given the pixel intensities of the source image "s" and of the target image "t", we want to solve for new intensity values "v" within the source region "S":

Here, each "i" is a pixel in the source region "S", and each "j" is a 4-neighbor of "i". Each summation guides the gradient values to match those of the source region. In the first summation, the gradient is over two variable pixels; in the second, one pixel is variable and one is in the fixed target region.

The method presented above is called "Poisson blending". Check out the Perez et al. 2003 paper to see sample results, or to wallow in extraneous math. This is just one example of a more general set of gradient-domain processing techniques. The general idea is to create an image by solving for specified pixel intensities and gradients.

A Wordy Explanation

As an example, consider this picture of the bear and swimmers being pasted into a pool of water. Let's ignore the bear for a moment and consider the swimmers. In the above notation, the source image "s" is the original image the swimmers were cut out of; that image isn't even shown, because we are only interested in the cut-out of the swimmers, i.e., the region "S". "S" includes the swimmers and a bit of light blue background. You can clearly see the region "S" in the left image, as the cutout blends very poorly into the pool of water. The pool of water, before things were rudely pasted into it, is the target image "t".

So, how do we blend in the swimmers? We construct a new image "v" whose gradients inside the region "S" are similar to the gradients of the cutout we're trying to paste in (swimmers + a little bit of background). The gradients won't end up matching exactly: the least squares solver will take any hard edges of the cutout at the boundary and smooth them by spreading the error over the gradients inside "S".

Outside "S", "v" will match the pool. We won't even bother computing the gradients of the pool outside S; we'll just copy those pixels directly.

In the first half of the large equation above, we set the gradients of "v" inside S. We loop over all the pixels inside the region S, and request that our new image "v" have the same gradients as the swimmers. The summation is over every pixel i in S; j is the 4 neighbors of i (left, right, up, and down, giving us both the x and y gradients. You may notice this equation counts all the gradients twice - is was simpler to write it this way. You actually don't have to double-count everything; it doesn't affect the result.)

But what do we do around the boundary of "S"? I.e. what if i is inside S, but j is outside? That's the second half of the equation. (If you look closely at the variables under the summation sign, the S has a bar thing in front of it - that means the complement of S, or anything not in S. Thus, read "j in the 4-neighborhood of i, but j not in S"). In this case we aren't solving for a v_j, since j is not inside "S". So we just pluck the intensity value right out of the target image. Thus we use t_j. Remember, we aren't modifying t outside the area of S, so we know that v_j in this case isn't a variable: it's exactly equal to t_j.

Toy Problem (20 pts)

The implementation for gradient domain processing is not complicated, but it is easy to make a mistake, so let's start with a toy example. In this example we'll compute the x and y gradients from an image s, then use all the gradients, plus one pixel intensity, to reconstruct an image v.

Denote the intensity of the source image at (x, y) as s(x,y) and the values of the image to solve for as v(x,y). For each pixel, then, we have two objectives:
1.minimize ( v(x+1,y)-v(x,y) - (s(x+1,y)-s(x,y)) )^2the x-gradients of v should closely match the x-gradients of s
2.minimize ( v(x,y+1)-v(x,y) - (s(x,y+1)-s(x,y)) )^2the y-gradients of v should closely match the y-gradients of s
Note that these could be solved while adding any constant value to v, so we will add one more objective:
3.minimize (v(1,1)-s(1,1))^2The top left corners of the two images should be the same color
For 20 points, solve this in Matlab as a least squares problem. If your solution is correct, then you should recover the original image.

Implementation Details

The first step is to write the objective function as a set of least squares constraints in the standard matrix form: (Av-b)^2. Here, "A" is a sparse matrix, "v" are the variables to be solved, and "b" is a known vector. It is helpful to keep a matrix "im2var" that maps each pixel to a variable number, such as:
[imh, imw, nb] = size(im);
im2var = zeros(imh, imw);
im2var(1:imh*imw) = 1:imh*imw;

(If you find that matlab trickery confusing, understand that you could have performed the mapping between pixel and variable number manually each time: e.g. the pixel at s(r,c), uses the variable number (c-1)*imh+r. However, this trick will come in handy for Poisson blending, where the mapping is from an arbitrarily-shaped block of pixels and won't be such a simple function. So it makes sense to understand it now.)

Then, you can write Objective 1 above as:
e=e+1;
A(e, im2var(y,x+1))=1;
A(e, im2var(y,x))=-1;
b(e) = s(y,x+1)-s(y,x);

Here, "e" is used as an equation counter. Note that the y-coordinate is the first index in Matlab convention. Objective 2 is similar; add all the y-gradient constraints as more rows to the same matrices A and b. As another example, Objective 3 above can be written as:
e=e+1;
A(e, im2var(1,1))=1;
b(e)=s(1,1);


To solve for v, use v = A\b; or v = lscov(A, b); Then, copy each solved value to the appropriate pixel in the output image.

Poisson Blending (60 pts)

Step 1: Select source and target regions. Select the boundaries of a region in the source image and specify a location in the target image where it should be blended. Then, transform (e.g., translate) the source image so that indices of pixels in the source and target regions correspond. I've provided starter code (getMask.m, alignSource.m) to help with this. You may want to augment the code to allow rotation or resizing into the target region. You can be a bit sloppy about selecting the source region -- just make sure that the entire object is contained. Ideally, the background of the object in the source region and the surrounding area of the target region will be of similar color.

Step 2: Solve the blending constraints:


Step 3: Copy the solved values v_i into your target image. For RGB images, process each channel separately. Show at least three results of Poisson blending. Explain any failure cases (e.g., weird colors, blurred boundaries, etc.).

Tips

1. Pre-initialize your sparse matrix with sparse([], [], [], M, N, nzmax) for a matrix with M equations and N variables and at most nzmax non-zero entries.
2. For your first blending example, try something that you know should work, such as the included penguins on top of the snow in the hiking image.
3. Object region selection can be done very crudely, with lots of room around the object.

Mixed Gradients (20 pts)

Follow the same steps as Poisson blending, but use the gradient in source or target with the larger magnitude as the guide, rather than the source gradient:


Here "d_ij" is the value of the gradient from the source or the target image with larger magnitude, i.e. if abs(s_i-s_j) > abs(t_i-t_j), then d_ij = s_i-s_j; else d_ij = t_i-t_j. Show at least one result of blending using mixed gradients. One possibility is to blend a picture of writing on a plain background onto another image.

Bells & Whistles (Extra Points)

Color2Gray (20 pts)
Sometimes, in converting a color image to grayscale (e.g., when printing to a laser printer), we lose the important contrast information, making the image difficult to understand. For example, compare the color version of the image on right with its grayscale version produced by rgb2gray.
Can you do better than rgb2gray? Gradient-domain processing provides one avenue: create a gray image that has similar intensity to the rgb2gray output but has similar contrast to the original RGB image. This is an example of a tone-mapping problem, conceptually similar to that of converting HDR images to RGB displays. To get credit for this, show the grayscale image that you produce (the numbers should be easily readable).
Hint: Try converting the image to HSV space and looking at the gradients in each channel. Then, approach it as a mixed gradients problem where you also want to preserve the grayscale intensity.

More gradient domain processing (up to 20 pts)
Many other applications are possible, including non-photorealistic rendering, edge enhancement, and texture or color transfer. See Perez et al. 2003 or Gradient Shop for further ideas.

Materials


Deliverables

Use both words and images to show us what you've done.
Place all code in your code/ directory. Include a README describing the contents of each file.
In the website in your www/ directory, please:




This project was based on one offered by Derek Hoiem.