Results on R2001(Region part) data (228 categories in training set vs 296 categories in test set)
 
 

5.1 KNN on 2001r

The graph tuning feature selection number (10000 is good for both micro and macro avg. performance)
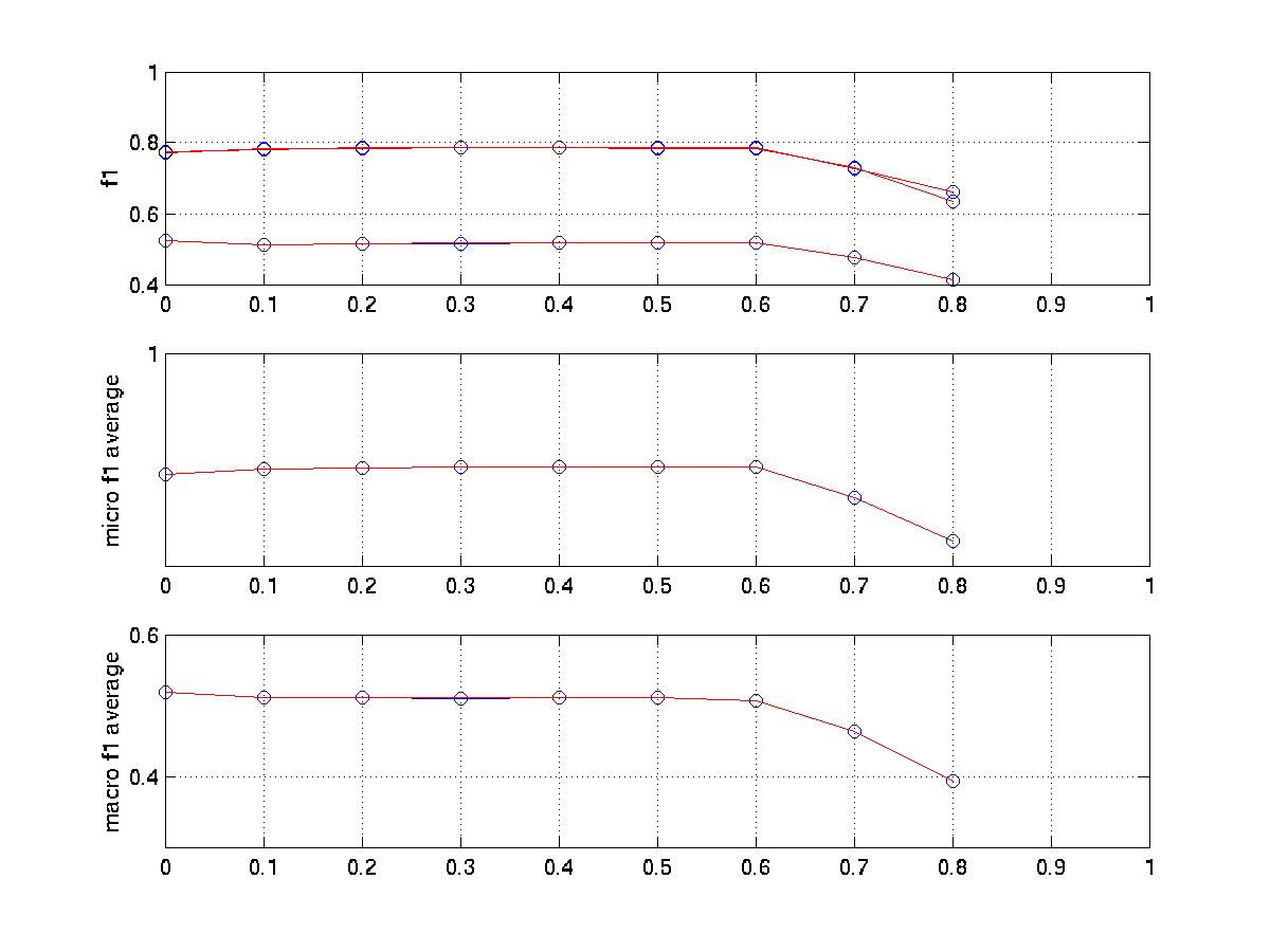
The graph tuning fbr value (0.5 is good for both micro avg. performance and 0.1 for macro avg. performance)
The graph tuning knn_k value (10 is good for micro avg. performance and 100 is OK for macro avg. performance)

micro avg. F1 Result and macro avg. F1 Result
 
 

5.2 Rocchio on 2001r
 
 

The graph tuning feature selection number (10000 is good for both micro and macro avg. performance)
The graph tuning beta value (-2 is good for micro and -2 for macro avg. performance)
The graph tuning fbr number (0.5 is good for both micro and macro avg. performance)

micro AND macro avg. F1 Result
 

5.3 NB on 2001r

micro avg. F1 Result and macro avg. F1 Result
(For macro avg. result, 6000 top features are used. fbr=0.3.  For micro avg. result, 2000 top features are used. fbr=0.1.)
 

5.4 SVM on 2001r

The graph tuning feature selection number (feature selection is not necessary)
The graph tuning fbr value (0.2 is good for micro and macro)

micro AND macro avg. F1 Result
 
 

Conclusion:

bar graph